网站首页  词典首页


请输入您要查询的字词:

 

字词 洛吡哌唑
类别 中英文字词句释义及详细解析
释义 洛吡哌唑

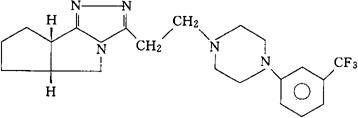
C21H26F3N5=405.47

CAS-108785-69-9

(±)-顺式-5,5a,6,7,8,8α-六氢-3-[2-[4-(α,α,α-三氟-间-甲苯基)-1-哌嗪基]乙基]环戊二烯并[3,4]吡咯并[2,1-c]-均-三唑。

(±)-cis-5,5a,6,7,8,8a-Hexahydro-3-[2-[4-(α,α,α-trifluoro-rn-tolyl)-1-piperazinyl]ethyl]cyclopenta[3,4]pyrrolo[2,1-c]-s-triazole.

抗焦虑药,镇痛药,安定药。

Lorpiprazole.

INN,USAN.

随便看

 

离鸟网收录3541549条中英文词条,其功能与新华字典、现代汉语词典、牛津高阶英汉词典等各类中英文词典类似,基本涵盖了全部常用中英文字词句的读音、释义及用法,是语言学习和写作的有利工具。

 

Copyright © 2004-2024 vtrois.com All Rights Reserved
更新时间:2026/4/19 7:33:05