网站首页  词典首页


请输入您要查询的字词:

 

字词 洛伐他汀[中]
类别 中英文字词句释义及详细解析
释义 洛伐他汀[中]

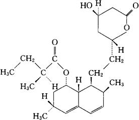
C24H36O=404.55

CAS--75330-75-5

1,2,3,7,8,8a-六氢-3,7-二甲基-8-[2-(四氢-4-羟-6-氧代-2H-吡喃-2-基)乙基]-1-萘基酯,[1S[1α(R*),3α,7β,8β,(2S*,4S*)8aβ]]-2-甲基-丁酸。

Butanoic acid,2-methyl-,1,2,3,7,8,8a-hexahydro3,7-dimethyl-8-[2-(tetrahydro-4-hydroxy-6-oxo2H-pyran-2-yl)ethyl]-1-naphthalenyl ester,[1S(1α(R*),3α,7β,8β,(2S*,4S*)8aβ]]-.

(S)-2-甲基丁酸8-酯与(4R,6R)-6-[2-[(1S,2S,6R,8S,8aR)-1,2,6,7,8,8a-六氢-8-羟-2,6-二甲基-1-萘基]乙基]四氢-4-羟基-2H-吡喃-2-酮。

(S)-2-Methylbutyric acid,8-ester with(4R,6R)-6-[2-[(1S,2S,6R,8S,8aR)-1,2,6,7,8,8a-hexahydro8-hydroxy-2,6-dimethyl-1-naphthyl]ethyl]tetrahydro-4-hydroxy-2H-pyran-2-one.

降血脂药。

Lovastatin,MK-803.

USAN.

随便看

 

离鸟网收录3541549条中英文词条,其功能与新华字典、现代汉语词典、牛津高阶英汉词典等各类中英文词典类似,基本涵盖了全部常用中英文字词句的读音、释义及用法,是语言学习和写作的有利工具。

 

Copyright © 2004-2024 vtrois.com All Rights Reserved
更新时间:2026/4/18 11:42:23