网站首页  词典首页


请输入您要查询的字词:

 

字词 泼尼莫司汀
类别 中英文字词句释义及详细解析
释义 泼尼莫司汀

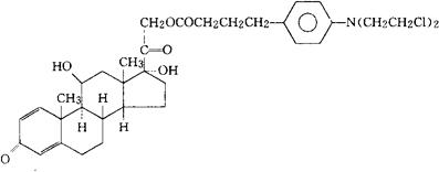
C35H45Cl21NO6=646.65

CAS-29069-24-7

(11β)-21-[4-[4-[双(2-氯乙基)氨基]苯基]-1-氧代丁氧]-11,17-二羟-孕甾-1,4-二烯-3,20-二酮。

(11β)-21-[4-[4-[bis(2-Chloroethyl)amino]phenyl]-1-oxobutoxy]-11,17-dihydroxy-pregna-1,4-diene-3,20-dione.

11β,17,21-三羟孕甾-1,4-二烯-3,20-二酮21-[4-[对-[双(2-氯乙基)氨基]苯基]丁酸酯]。

11β,17,21-Trihydroxypregna-1,4-diene-3,20-dione 21-[4-[p-[bis(2-chloroethyl)amino]phenyl]butyrate].

抗肿瘤药。

Prednimustine.

INN,USAN.

随便看

 

离鸟网收录3541549条中英文词条,其功能与新华字典、现代汉语词典、牛津高阶英汉词典等各类中英文词典类似,基本涵盖了全部常用中英文字词句的读音、释义及用法,是语言学习和写作的有利工具。

 

Copyright © 2004-2024 vtrois.com All Rights Reserved
更新时间:2026/4/19 9:07:21