网站首页  词典首页


请输入您要查询的字词:

 

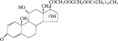
字词 泼尼松龙司替酸酯
类别 中英文字词句释义及详细解析
释义 泼尼松龙司替酸酯

C41H64O8=684.95

CAS-5060-55-9

11β,17,21-三羟孕甾-1,4-二烯-3,20-二酮-21-甘醇酸酯的硬脂酸酯。

Stearate ester of 11β,17,21-trihydroxypregna-1,4-diene-3,20-dione-21-glycolate.

肾上腺皮质激素类药,消炎镇痛药,抗过敏药。

Prednisolone Steaglate,Prednisolone Stearoylglycolate.

INN,BAN,DCIT,GDP,IP,JP,USAN,USP,USSRP,MI.

随便看

 

离鸟网收录3541549条中英文词条,其功能与新华字典、现代汉语词典、牛津高阶英汉词典等各类中英文词典类似,基本涵盖了全部常用中英文字词句的读音、释义及用法,是语言学习和写作的有利工具。

 

Copyright © 2004-2024 vtrois.com All Rights Reserved
更新时间:2026/4/21 4:20:32