网站首页  词典首页


请输入您要查询的字词:

 

字词 泼尼伐尔
类别 中英文字词句释义及详细解析
释义 泼尼伐尔

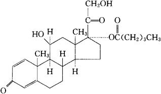
C26H36O6=444.57

CAS-15180-00-4

(11β)-11,21-二羟-17-[(1-氧代戊基)氧]-孕甾-1,4-二烯-3,20-二酮。

(11β)-11,21-Dihydroxy-17-[(1-oxopentyl)oxy]-pregna-1,4-diene-3,20-dione.

11β,17,21-三羟孕甾-1,4-二烯-3,20-二酮17-戊酸盐。

11β,17,21-Trihydroxypregna-1,4-diene-3,20-dione 17-valerate.

肾上腺皮质激素类药。

Prednical,W 4869.

USAN.

随便看

 

离鸟网收录3541549条中英文词条,其功能与新华字典、现代汉语词典、牛津高阶英汉词典等各类中英文词典类似,基本涵盖了全部常用中英文字词句的读音、释义及用法,是语言学习和写作的有利工具。

 

Copyright © 2004-2024 vtrois.com All Rights Reserved
更新时间:2026/4/19 17:58:23