泵的调速系统的功率计算
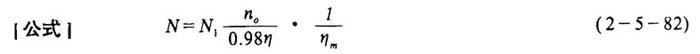
[说明]控制泵的速度的驱动系统主要有两种,一种是由恒速电机通过可调联轴器驱动的泵,另一种是由调速电机驱动的泵。一是损失可忽略的电动驱动系统,二是有一定损失的电机械——液压系统(见图2-5-40)。这两种传动的差别很大程度上取决于泵的工作速度范围。速度范围越大,电机械系统的损失也越大。不同驱动系统所需要的功率等于泵所需的功率除以驱动系统的总效率。这两种主要类型的驱动系统所需的功率可计算如下。 a-由调速电机驱动的泵 b-由恒速电机通过可调联轴器驱动的泵 1.电动——机械液力联抽器所需的功率  式中 N——功率(kW) N1——联轴器输出功率(kW) n0——电机额定转速(r/min) η——转换器效率(%) ηm——恒速电机效率(%) 2.完全电动驱动系统的功率计算  其中 ηc——调速电机效率(%) 其它同上 3.所需功率差的计算  式中符号含义及单位同上 |