网站首页  词典首页


请输入您要查询的字词:

 

字词 泵的理论功率计算
类别 中英文字词句释义及详细解析
释义 泵的理论功率计算

[说明]泵的有效功率的确定主要根据泵所输送流体的液位高度及管道、管件和阀门等对输送所造成的阻力进行计算。泵的理论功率的计算可分为五步:
❶ 确定流体输送能量方程式——柏努利方程式(式2-5-76);
❷ 计算管路及管件的压损(见式2-5-44);
❸ 计算流体的质量流率(见式2-5-45);
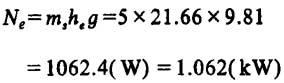
❹ 计算泵的有效功率(见式2-5-46);计算泵的轴功率(见式2-5-48)。

解:浆池液面定为截面1-1,也作水平基准面,高位槽液面为截面2-2,在1-1和2-2间能量衡算,则:

注:d-表示浆管内径

表2-5-19 水管阻力的当量长度Le值(m)

摇板式止逆阀:0.081×135=10.94(m)

90°弯头 0.081×35=2.84(m)

ΣL=10.94+2.84=13.78(m)

流体在Φ89×4mm管中流速

20℃时稀纸料的特性:

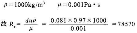
流动状态为湍流,以Re=78570,=0.00062查图2-5-1得摩擦系数λ=-0.018

由当量长度法计算阻力公式得:

❷ 同理计算流体经过Φ57×3.5mm无缝钢管,直管长度为50m时的阻力h1″为:

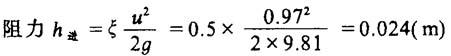
❸ 流体进出口阻力h1′″

Φ89×4mm管进口阻力,因是突然缩小,故ξ=0.5

Φ57×3.5mm管出口阻力,因是突然扩大,故ξ=1.0,因此:

❹ 全管路总阻力h1

❺ 纸料需接受外功增加的压头he

he=ΔZ+h1=10+11.66=21.66(m)

❻ 质量流率:

❼ 泵的有效功率:

❽ 泵的轴功率:

随便看

 

离鸟网收录3541549条中英文词条,其功能与新华字典、现代汉语词典、牛津高阶英汉词典等各类中英文词典类似,基本涵盖了全部常用中英文字词句的读音、释义及用法,是语言学习和写作的有利工具。

 

Copyright © 2004-2024 vtrois.com All Rights Reserved
更新时间:2026/4/18 18:41:04