网站首页  词典首页


请输入您要查询的字词:

 

字词 泵前负压罐的设计计算
类别 中英文字词句释义及详细解析
释义 泵前负压罐的设计计算

[说明]如图2-5-51所示,使用负压罐的目的是利用引水管将流体以一定流速由H1高度输送到H高度,以满足工艺上的要求。

1.流体输送的能量衡算

[说明]流体的输送过程可看作无热交换,流体温度不变,且流体不可压缩。则根据柏努利方程式得流体输送的能量衡算式如下。

2.负压罐的作用原理式

[说明]如图2-5-51左图所示,当由注水管A注水后,将A封闭。此时不注水空间构成一个气体系统,这个系统包括负压罐内注水后不贮水空间Vab及引水管内不贮水空间这时此系统体积为V′、压力为P′,其中V′=Vab+

当泵启动后,罐内液面下降,不贮水空间体积增至V″,此时罐内压力为P″(见图2-5-51右图),此时,这一物理变化符合气体状态方程式:

P′V′=P″V″(温度T不变)

则P”=P′

又知△V=V″-V′,故:

注:d-表示浆管内径

表2-5-19 水管阻力的当量长度Le值(m)

6.引水管管径的选择计算

[说明]管径可根据已确定的流量及流速,从表2-5-23和表2-5-24中查得,也可按式2-5-27计算。

7.负压罐的设计计算实例

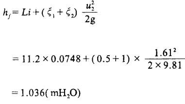
[例]已知某负压罐需要将25℃水的液面输送到8m高处,引水管内水的流速为1.61m/s,流量为28.8m3/h,25℃时水的密度p=1000kg/m3,引水管长11.2m,试确定产生足够负压所需的容积。如果水泵入口上端至罐底距离为200mm,负压罐的加工半径为300mm,试计算负压罐的最低高度。

解:
❶ 已知u=1.61m/s,Q=28.8m3/h,则管径d为:

查表2-5-7得水力坡度i=0.0748mH2O/m,故:

又Pv=1atm=1.01325×105Pa,所以:

随便看

 

离鸟网收录3541549条中英文词条,其功能与新华字典、现代汉语词典、牛津高阶英汉词典等各类中英文词典类似,基本涵盖了全部常用中英文字词句的读音、释义及用法,是语言学习和写作的有利工具。

 

Copyright © 2004-2024 vtrois.com All Rights Reserved
更新时间:2026/4/17 23:12:26