网站首页  词典首页


请输入您要查询的字词:

 

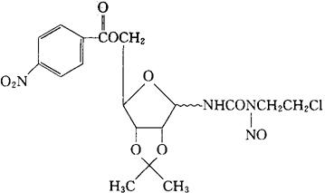
字词 波呋莫司汀
类别 中英文字词句释义及详细解析
释义 波呋莫司汀

C18H21ClN4O9=472.84

CAS-55102-44-8

1-(2-氯乙基)-3-(2,3-O-异丙烯基-D-呋喃核糖基)-1-亚硝基脲5′-(对-硝基苯甲酸酯)。

1-(2-Chloroethyl)-3-(2,3-O-isopropylidene-D-ribofuranosyl)-1-nitrosourea 5′-(p-nitrobenzoate).

抗肿瘤药,免疫抑制药。

Bofumustine,ICIG 1105.

INN,USAN.

随便看

 

离鸟网收录3541549条中英文词条,其功能与新华字典、现代汉语词典、牛津高阶英汉词典等各类中英文词典类似,基本涵盖了全部常用中英文字词句的读音、释义及用法,是语言学习和写作的有利工具。

 

Copyright © 2004-2024 vtrois.com All Rights Reserved
更新时间:2026/4/18 21:36:10