网站首页  词典首页


请输入您要查询的字词:

 

字词 泛托法隆
类别 中英文字词句释义及详细解析
释义 泛托法隆

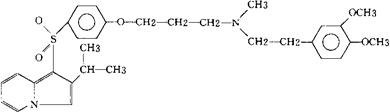
C13H38N2O5S=334.52

CAS-114432-13-2

1-[[对-[(3-二甲氧苯乙基)甲氨基]丙氧]苯基]磺酰]-2-异丙基吲嗪。

1-[[p-[(3,4-Dimethoxyphenethyl)methylamino]propoxy]phenyl]sulfonyl]-2-isopropylindolizine.

血管扩张药。

Fantofarone.

INN,USAN.

随便看

 

离鸟网收录3541549条中英文词条,其功能与新华字典、现代汉语词典、牛津高阶英汉词典等各类中英文词典类似,基本涵盖了全部常用中英文字词句的读音、释义及用法,是语言学习和写作的有利工具。

 

Copyright © 2004-2024 vtrois.com All Rights Reserved
更新时间:2026/4/18 17:23:31