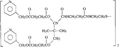
泛尼酯
C62H78N8O20S2=1319.46 CAS-96922-80-4 [R-(R*,R*)]-3-吡啶甲基氢琥珀酸酯,与N,N′-[二硫代双(乙烯亚氨基羰基乙烯)]双[2,4-二羟-3,3-二甲基丁酰胺]形成四脂。 [R-(R*,R*)]-3-Pyridylmethyl hydrogen succinate,tetraester with N,N′-[dithiobis(ethyleneiminocarbonylethylene)[bis[2,4-dihydroxy-3,3-dimethylbutyramide]. 降血脂药。 Pantenicate. INN,USAN.  |