网站首页  词典首页


请输入您要查询的字词:

 

字词 法西普隆
类别 中英文字词句释义及详细解析
释义 法西普隆

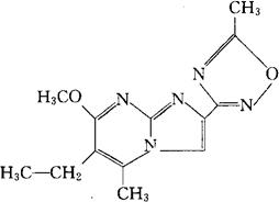
C13H15N5O2=273.29

CAS-106100-65-6

6-乙基-7-甲氧-5-甲基-2-(5-甲基-1,2,4-噁二唑-3-基)咪唑并[1,2-a]嘧啶。

6-Ethyl-7-methoxy-5-methyl-2-(5-methyl-1,2,4-oxadiazol-3-yl)imidazol[1,2-a]pyrimidine.

抗焦虑药。

Fasiplon.

INN,USAN.

随便看

 

离鸟网收录3541549条中英文词条,其功能与新华字典、现代汉语词典、牛津高阶英汉词典等各类中英文词典类似,基本涵盖了全部常用中英文字词句的读音、释义及用法,是语言学习和写作的有利工具。

 

Copyright © 2004-2024 vtrois.com All Rights Reserved
更新时间:2026/4/20 1:56:04