网站首页  词典首页


请输入您要查询的字词:

 

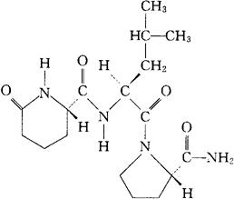
字词 泊替瑞林
类别 中英文字词句释义及详细解析
释义 泊替瑞林

C17H28N4O4=352.43

CAS-78664-73-0

(2S)-N[(1S)-1-[[(2S)-2-氨基甲酰-1-吡咯烷基]羰基]-3-甲丁基]-6-氧代-哌啶酰胺。

(2S)-N[(1S)-1-[[(2S)-2-Carbamoyl-1-pyrrolidinyl]carbonyl]-3-methylbutyl]-6-oxopipecolamide.

N-[(6-氧代-2-哌啶基)羰基]亮氨酰脯氨酰胺。

N-[(6-Oxo-2-piperidinyl)carbonyl]leucyloprolinamide.

促甲状腺素释放药。

Posatirelin.

INN,USAN.

随便看

 

离鸟网收录3541549条中英文词条,其功能与新华字典、现代汉语词典、牛津高阶英汉词典等各类中英文词典类似,基本涵盖了全部常用中英文字词句的读音、释义及用法,是语言学习和写作的有利工具。

 

Copyright © 2004-2024 vtrois.com All Rights Reserved
更新时间:2026/4/19 20:42:00