网站首页  词典首页


请输入您要查询的字词:

 

字词 沿程压力损失
类别 中英文字词句释义及详细解析
释义 沿程压力损失

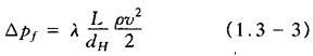
(1)圆管的沿程压力损失

圆管内流动的流体,由于克服粘性力而引起的压力损失,称沿程压力损失△pf,可按达西公式计算

表1.3-1 圆管的沿程阻力系数λ的计算公式

不同管材内壁绝对粗糙度△,又称为当量粗糙度,它们随管材及新旧程度不同而异,见表1.3-2。

表1.3-2 管材内壁绝对粗糙度△

(4)非圆管的沿程压力损失

对于非圆管的沿程压力损失计算,仍可用达西公式

式中 dH——非圆管的水力直径,见表1.3-3。

表1.3-3 非圆管层流的阻力系数

非圆管层流时的沿程阻力系数λ,见表1.3-3,它随过流断面不同而异。湍流时的沿程阻力系数λ计算时,则以水力直径dH代替表1.3-1所列公式中的直径d,即可近似地应用。

随便看

 

离鸟网收录3541549条中英文词条,其功能与新华字典、现代汉语词典、牛津高阶英汉词典等各类中英文词典类似,基本涵盖了全部常用中英文字词句的读音、释义及用法,是语言学习和写作的有利工具。

 

Copyright © 2004-2024 vtrois.com All Rights Reserved
更新时间:2026/4/19 13:20:52