网站首页  词典首页


请输入您要查询的字词:

 

字词 沸腾焙烧炉工艺计算示例
类别 中英文字词句释义及详细解析
释义 沸腾焙烧炉工艺计算示例

1.基础数据和条件

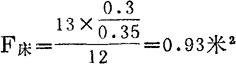
(1)炉床面积

取炉床焙烧强度u床为12吨(35%s)/米2·日。

热平衡表(单位:千卡/时)

(2)炉床直径

(3)沸腾层高

H1取1米;H2取1米。

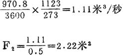
(4)炉上部截面积

炉上部气速取0.5米/秒。操作温度下的炉气量:

(5)炉上部直径

(6)扩大段高度

取扩散角θ=15°。

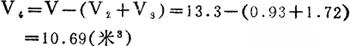
(7)炉膛容积

炉气在炉内停留时间取12秒。

V=12×1,11=13.3(米3)

(8)下部容积

V2=F2H2===0.93×1=0.93(米3)

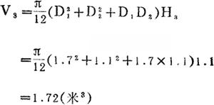
(9)扩大段容积

(10)上部体积

(11)上部高度

(12)风帽

采用8孔风帽,孔径5毫米,每个风帽的小孔截面积为157×10-62。小孔风速取20米/秒。小时空气量为960标准米3/时,换算成室温条件下的空气量为0.286米3/秒。风帽个数:

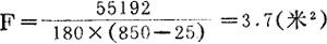
(13)水箱面积

根据热量衡算需导出的热量为55192千卡/时,水温为25℃,取传热系数K=180千卡/米2·时·℃,所需水箱面积:

随便看

 

离鸟网收录3541549条中英文词条,其功能与新华字典、现代汉语词典、牛津高阶英汉词典等各类中英文词典类似,基本涵盖了全部常用中英文字词句的读音、释义及用法,是语言学习和写作的有利工具。

 

Copyright © 2004-2024 vtrois.com All Rights Reserved
更新时间:2026/4/19 3:02:28