网站首页  词典首页


请输入您要查询的字词:

 

字词 沸腾焙烧炉
类别 中英文字词句释义及详细解析
释义 沸腾焙烧炉

国内亚硫酸盐制浆厂已普遍采用沸腾焙烧炉来焙烧硫铁矿。国内(包括硫酸工业)沸腾炉已烧过含硫10~50%、水分0,1~13%(或水分更高如泥浆加料)的矿。工业规模的实践数据可作为沸腾炉设计的依据。

1.结构型式和工艺条件

沸腾炉的结构型式有直筒型、扩大型(分一次扩大和二次扩大)、锥型床以及在床层中置放多个锥体等。目前采用较多的为一次扩大型。沸腾焙烧炉多采用钢板作外壳,内砌耐火砖(也有浇铸耐热混凝土),在砖层和钢板外壳之间填有石棉灰保温层。保温层的厚度应使钢板外壳不要承受太高的操作温度,但温度也不要太低,因低温形成酸雾腐蚀。

国内一些硫铁矿沸腾焙烧炉的设备特征和工艺条件列于表6-2-28。

表6-2-28 硫铁矿沸腾焙烧炉设备特征和工艺条件实例

(1)全烧尾砂时,焙烧强度一般选用8~14吨(35%s)/米2·日。

(2)全烧粉碎的块矿,例如粉碎后通过3毫米筛网的矿粒,焙烧强度取25~30吨(35%S)/米2·日。

表6-2-30 通过3毫米筛网的粉碎块矿的粒析数据

由炉气带出的矿尘粒度一般小于0.25~0.18毫米,因此炉子上部的焙烧空间应保证气体停留时间不少于7~8秒,一般设计时取8~12秒。

炉的容积强度U(吨/米3·日)是衡量炉子生产能力的指标之

(1)炉床的直径D1根据所需的日烧矿量和选择的炉床焙烧强度而定。

炉床面积F

1-颗粒平均直径0.2毫米

2-颗粒平均直径0.3毫米

3-颗粒平均直径0.4毫米

由于风帽及进气箱的压力降一般约占ΔP的10~15%,故总压力降为:

ΔP=(1.10~1.15)hγ

风帽压力降与通过小孔的风速有关(图6-2-20)。

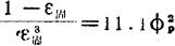
固定层空隙率:

式中 γ——颗粒的假重度;

γ——颗粒的真重度。

床层膨胀率:

固定层高度:

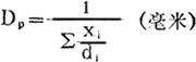
颗粒平均直径:

式中 xi——某一尺寸颗粒成分,%;

di——该成分的颗粒直径,其值为相邻筛孔孔径d1与d2的乘积的开方值,即,毫米。

颗粒的形状系数:球形颗粒的形状系数Φp=1,其他各种固体的形状愈不规则,Φp愈小。Φp与固定层的空隙率的关系由下式计算:

当ε=0.5时,Φp=0.6。

矿在沸腾层内停留时间

式中 G——沸腾层内颗粒重量,公斤;

G——每小时加料量,公斤,

F——沸腾床面积,米2

h——固定层高度,米;

γ——颗粒的假重度,公斤/米3

11.沸腾层内冷却设施的传热系数

沸腾层内冷却设施的传热系数根据实测的经验数据分别为:用冷却水箱或冷却水夹套时,传热系数约在150~200千卡/米2·时·℃,水流速度不应低于0.3米/秒;管式冷却器由于水流速度较大,可达250千卡/米2·时·℃;采用中压废热锅炉时,沸腾层内蒸发管束的传热系数一般取250千卡/米2·时·℃。

表6-2-32 有关沸腾层工艺参数的计算结果

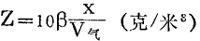
12.烟尘率

由炉气带出的炉灰(即烟尘)量,基本上取决于矿石的颗粒径级及炉气的线速度。炉气中的烟尘含量由下式计算:

式中 β——由炉气带出的炉灰占矿渣总量的百分数(即烟尘率),一般取70~90%;

x——矿渣产率,分数;

V——焙烧1公斤干矿产生的湿炉气容积,米3

某试验炉对烟尘率β的实测结果为:

随便看

 

离鸟网收录3541549条中英文词条,其功能与新华字典、现代汉语词典、牛津高阶英汉词典等各类中英文词典类似,基本涵盖了全部常用中英文字词句的读音、释义及用法,是语言学习和写作的有利工具。

 

Copyright © 2004-2024 vtrois.com All Rights Reserved
更新时间:2026/4/19 3:22:43