河流被污染状况的分析计算及实例
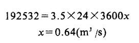
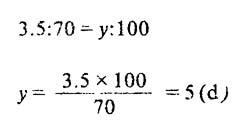
[例1]某日产25t漂白麦草浆的造纸厂,在配有碱回收的条件下,将废液排至河流。已知河流的原径流量为2.83m3/s,纸厂排污量为24000m3/d,排入有机污染物BOD5的量为4881kg/d,径流3.5天内约70km为水质恶化区。求: ❶ 被污染的径流总量; ❷ 每吨BOD5恶化水质的径流总量?相当于多大的径流量流经3.5d后70km的污染水域?❸ 使100km原河水恢复正常,约需流几天? 解: ❶ 被污染的径流总量:  式中 Q——被污染的径流总量(m3/d) Q1——原河水径流量(m3/d) Q2——排污水量(m3/d) t——径流时间(d)  ❷ 每吨BOD5恶化水质的径流总量为:  相当于径流量为x,则:  即相当于径流量为0.64m3/s的河流,流径3.5日后70km的江河水域被严重污染。 ❸ 约需流经的天数为y,则:  即5d后水流中溶解氧恢复到6.0mg/L以上时,鱼类才能正常生活。 |