网站首页  词典首页


请输入您要查询的字词:

 

字词 沙莫西林
类别 中英文字词句释义及详细解析
释义 沙莫西林

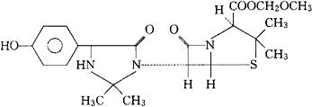
C21H27N3O6S=449.52

CAS-67337-44-4

6-[4-(对-羟基苯基)-2,2-二甲基-5-氧代-1-咪唑烷基]青霉烷酸甲氧基甲酯。

6-[4-(p-Hydroxyphenyl)-2,2-dimethyl-5-oxo-1-imidazolidinyl penicillanic acid methoxymethyl ester.

(2S,5R,6R)-6-[4-(对-羟基苯基)-2,2-二甲基-5-氧代-1-咪唑烷基]-3,3-二甲基-7-氧代-4-硫杂-1-氮杂双环[3.2.0]庚烷-2-羧酸甲氧基甲酯。

(2S,5R,6R)-6-[4-(p-Hydroxyphenyl)-2,2-dimethyl5-oxo-1-imidazolidinyl]-3,3-dimethyl-7-oxo-4-thia-1-azabi cyclo[3.2.0]heptane-2-carboxylicacid methoxymethyl ester.

抗生素类药。

Sarmoxicillin.

INN,USAN.

随便看

 

离鸟网收录3541549条中英文词条,其功能与新华字典、现代汉语词典、牛津高阶英汉词典等各类中英文词典类似,基本涵盖了全部常用中英文字词句的读音、释义及用法,是语言学习和写作的有利工具。

 

Copyright © 2004-2024 vtrois.com All Rights Reserved
更新时间:2026/4/18 9:18:25