网站首页  词典首页


请输入您要查询的字词:

 

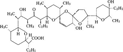
字词 沙利霉素
类别 中英文字词句释义及详细解析
释义 沙利霉素

C42H70O11=751.01

CAS-53003-10-4

抗球虫剂。

Salinomycin,Bio-Gro,Coxistac,Eustin,Sacox AHR 3096,K 364,K 74 8364A,Antibiotic 61477.

INN,BAN,USAN,MI.

随便看

 

离鸟网收录3541549条中英文词条,其功能与新华字典、现代汉语词典、牛津高阶英汉词典等各类中英文词典类似,基本涵盖了全部常用中英文字词句的读音、释义及用法,是语言学习和写作的有利工具。

 

Copyright © 2004-2024 vtrois.com All Rights Reserved
更新时间:2026/4/18 3:32:28