网站首页  词典首页


请输入您要查询的字词:

 

字词 沉淀法白水回收设计计算及实例
类别 中英文字词句释义及详细解析
释义 沉淀法白水回收设计计算及实例

[例]已知:白水处理量G=10000t/d(417t/h或7t/min,白水中悬浮物含量G1=0.2555g/L,白水pH值为7.2~7.6,产品总产量115~120t/d。

设计要求:
❶ 处理后清水中悬浮物含量20ppm以下,pH为6.5,能用于喷网和洗毛毯。
❷ 回收浆料能回本机台使用。
❸ 白水封闭循环使用后,清水耗用量由目前的70~80t水/t纸降低到20t水/t纸以下。

工艺流程见图4-2-5。

1-清水泵 2-清水池 3-过滤罐 4-沉淀池 5-贮浆池 6-反应池 7-低压除渣器 8-白水泵

1.低压除渣器的计算

[说明]选用Φ600mm,生产能力210m3/h(或3.5m3/min)低压除渣器二台。

2.反应池计算

根据本车间实际条件,结合有关生产试验资料,白水投加硫酸铝溶液后,化学反应时间采用15min。已知处理水量为7m3/min,则需要反应池的容积为:

若反应池采用长×宽×高=2.0×2.0×3.2m,则每个反应池的容积为:

需要的池子数量为:

因液体在反应池的流速w<0.085m/s时,才能保证已经形成的矾花不致被粉碎。所以,本设计符合要求。

3.斜板沉淀池的计算

❶ 沉淀池尺寸

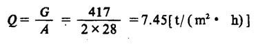
拟选用外形尺寸为7m,宽4m的沉淀池2台,则每台的有效表面积为:

❷ 沉淀池表面负荷率

Q在设计范围[7~10m3/(m2·h)],符合要求。

❸ 斜板的计算

斜板与水平面夹角(倾射角)φ采用60°;斜板规格尺寸选用长×宽=12000×1000mm,厚度为2mm,材料为塑料板;斜板间垂直距离,采用H=65mm。

a.每排的斜板数

b.每台沉淀池的斜板数

池宽4m可安排4排斜板,则每台沉淀池可安装斜板数为84×4=336(块)

c.2台沉淀池共需斜板数为336×2=672(块)

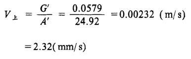
❹ 水流在斜板部分的上升速度

斜板部分的横截面积(不考虑支撑斜板的肋条所占的空间):

每台沉淀池的通过量:

则水流在斜板部分的上升速度为:

V在设计范围(1.6~3.5mm/s)之内,符合要求。

❺ 斜板部分停留时间计算

❻ 斜板部分沉淀时间的计算

已知斜板间距H=65mm,斜板与水平面的夹角φ=60°,颗粒在斜板部分的沉降速度由实验测得w=0.33mm/s,则:

由于t1>t2,说明悬浮颗粒在斜板部分能够完全沉降。

❼ 雷诺准数的验算

式中 R——水力半径(cm)

V——水流在斜板间的上升速度(cm/s)

μ——运动粘度,取μ=0.01cm2/s

已知斜板间距H==65mm,沉淀池宽度B=4000mm,则:

故Re<100,流体处于层流状态。

4过滤池的计算

采用Φ2800mm圆筒4台,每台过滤面积为:

总过滤面积A=6.16×4=24.64(m2)

过滤罐的表面负荷率q===16.92[m3/(m2·h)]

滤层材料:上层为海砂(粒度3~4mm),层高150mm;下层为小卵石(铺路用的),层高250~350mm,滤层总高为400~450mm。

5.清水池的计算

采用容积V=长×宽×高=8.5×3×3.5=89.25(m3)

6.贮浆池的计算

排渣量按10%计算,则总排渣量为:

可容纳排渣时间:

式中 H——贮浆池高度(m)

V——贮浆池的体积(m3)

A——贮浆池的面积(m2)

随便看

 

离鸟网收录3541549条中英文词条,其功能与新华字典、现代汉语词典、牛津高阶英汉词典等各类中英文词典类似,基本涵盖了全部常用中英文字词句的读音、释义及用法,是语言学习和写作的有利工具。

 

Copyright © 2004-2024 vtrois.com All Rights Reserved
更新时间:2026/4/18 18:05:35