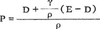
沃尔特公式
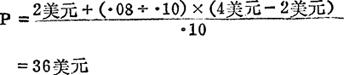
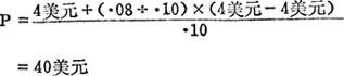
经济学界早期提出的一个关于股利的理论模式,其公式如下:  式中,P=普通股票每股市价;D=每股股利;E=每股收益;γ=投资收益率;ρ=市场资本化率。 假设γ=12%,ρ=10%,E=4美元,D=0美元,那么,普通股票每股市价将为:  也就是说,当股利支付率=0时,普通股股票每股市价最高;反之,如果γ低于ρ时,最佳股利支付率应为100%。假设γ=8%,ρ=10%,E=4美元,D=2美元,那么,普通股票每股市价将为:  在股利支付率=100%时,每股市价则为:  可见,当收益全部分配为股利时,普通股票每股市价可以达到最高限度。如果γ=ρ,每股市价对股利支付率的反应不灵敏。按照沃尔特公式的含义,最佳股利支付率应该完全由投资收益率来确定。如果公司有利可图的投资机会很多,它不应分配现金股利,因为需要把部分收益留下,供投资之用,反之,公司找不到有利可图的投资机会,则应以股利形式将收益全部分给股东。 |