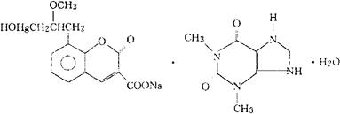
汞香豆林钠
C21H21HgN4NaO8·H2O=699.01 CAS-60135-06-0 CAS-574-79-8(replaced) CAS-43043-01-2(mercumatilin) 8-[3-(羟汞基)-2-甲氧丙基]-2-氧代-2H-1-苯并吡喃-3-羧酸与茶碱的钠盐。 Mixture of sodium salt of 8-[3-(hydroxymercuri)-2-methoxypropyl]-2-oxo-2H-1-benzopyran-3-carboxylic acid and theophylline. 利尿药。 Mercumatilin Sodium. INN,USAN,MI.  |