网站首页  词典首页


请输入您要查询的字词:

 

字词 汉防己甲素[中]
类别 中英文字词句释义及详细解析
释义 汉防己甲素[中]

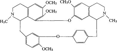
C38H42N2O6=622.73

CAS-518-34-3

6,6’,7,12-四甲氧-2,2’-二甲基小檗曼。

6,6’,7,12-Tetramethoxy-2,2’-dimethylberbaman.

抗风湿药,止痛退热药。用于风湿痛、关节痛、神经痛及硅肺。

汉防己碱,粉防己碱。

Tetrandrine.

汉防己甲素片,汉防己甲素注射液。

MI.

随便看

 

离鸟网收录3541549条中英文词条,其功能与新华字典、现代汉语词典、牛津高阶英汉词典等各类中英文词典类似,基本涵盖了全部常用中英文字词句的读音、释义及用法,是语言学习和写作的有利工具。

 

Copyright © 2004-2024 vtrois.com All Rights Reserved
更新时间:2026/4/20 5:25:24