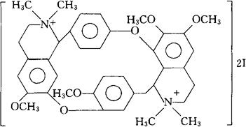
汉肌松[中]
C40H48I2N2O6=906.64 CAS-7601-55-0 碘化二甲基汉防己碱。 Dimethylchondrocurarine iodide. 6,6′,7′,12′-四甲氧基-2,2,2′,2′-四甲基管箭毒碱二碘化物。 Tubocuraranium,6,6′,7′,12′-tetramethoxy-2,2,2′,2′-tetramethyl,diiodide. 肌肉松弛剂。 Metocurine Iodide,Metubine Iodidie,Tetrandrine Dimethiodide,Dimethyl Tubocurarine Iodide. USAN,USP,MI.  |