网站首页  词典首页


请输入您要查询的字词:

 

字词 水飞蓟素葡甲胺
类别 中英文字词句释义及详细解析
释义 水飞蓟素葡甲胺

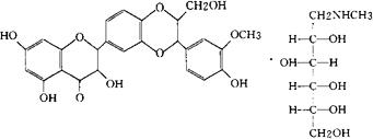
C32H39NO15=677.66

为水飞蓟素(C25H22O10)与葡甲胺(C7H17NO5)结合而成。

2-[2,3-二氢-3(4-羟-3-甲氧苯基)-2-(羟甲基)-1,4-苯并二喔星-6-基]-2,3-二氢-3,5,7-三羟-4H-1-苯并吡喃-4-酮,[2R-[2α,3β,6(2R,3R)]];-1-去氧-1-(甲氨基)-D-山梨醇(1∶1)的化合物。

2-[2,3-Dihydro-3(4-hydroxy-3-methoxyphenyl)-2-(hydroxymethyl)-1,4-benzodioxin-6-yl]-2,3-dihydro-3,5,7-trihydroxy-4H-1-benzopyran-4-one,[2R[2α,3β,6(2R,3R)]];compound with 1-deoxy-1-(methylamino)-D-glucitol(1∶1).

保肝药。用于急慢性肝炎、初期肝硬化、肝中毒等。西利宾胺。

Meglumine Silymarin.

水飞蓟素葡甲胺片。

随便看

 

离鸟网收录3541549条中英文词条,其功能与新华字典、现代汉语词典、牛津高阶英汉词典等各类中英文词典类似,基本涵盖了全部常用中英文字词句的读音、释义及用法,是语言学习和写作的有利工具。

 

Copyright © 2004-2024 vtrois.com All Rights Reserved
更新时间:2026/4/19 6:47:04