网站首页  词典首页


请输入您要查询的字词:

 

字词 水泥生产配料计算
类别 中英文字词句释义及详细解析
释义 水泥生产配料计算

采用拼凑法,此法是根据原料的成分,算出生料的成分,再考虑煤灰的掺入,计算出熟料的成分和率值。如不符合所要求的率值范围,则需调整原料的配比,重新计算,这样直至达到要求为止。现以滤泥、炉渣、铁矿石三种原料配料为例,计算如下。

1.原燃料的化学分析

表7-80 原燃料的化学成分

2.换算为100%的成分

表7-81 换算为100%的成分

3.煅烧后生料中的成分

表7-82 煅烧后生料中的成分

4.无烟煤耗用量

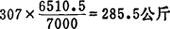
已知:煤低位发热量=6510.5千卡/公斤

熟料单位耗热量g=2000千卡/公斤熟料

煤灰分 AP=24.9%

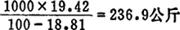
(1)每吨熟料耗煤量为:

(2)煤灰分掺入量为:

5.经拼凑法计算调整后的熟料化学成分

表7-83 调整后的熟料化学成分

6.石灰饱和系数和各率值计算

(1)石灰饱和系数:

(2)铝率氧:

(3)硅率:

7.烧成一吨熟料块(不考虑掺入的煤灰成分),各种干燥原料的消耗量计算

(1)煅烧后滤泥的数量:

(2)煅烧后炉灰的数量:

(3)煅烧后铁矿石的数量:

各种干燥原料的使用量以遍乘各项,不考虑煤灰加入量的干燥。

原料需用量如下。

每吨熟料,即100公斤熟料需用干燥后的原料数量。

(1)滤泥的数量为:

(2)炉灰的数量为:

(3)铁矿石的数量为:

生料的理论消耗量为1682.0公斤,即每吨熟料理论消耗生料量为1682公斤,即料耗比为1∶1.682。

8.各种干燥原料的消耗百分比

9.调整后生料中各项原料的配合比及生料的化学成分

表7-84 各项原料的配合比及生料的化学成分

10.熟料的单位原燃料消耗定额,考虑煤灰加入后,每吨熟料消耗干燥的生料粉

(1)干燥滤泥的消耗量为:

(2)干燥炉灰的消耗量为:

(3)干燥铁矿石的消耗量为:

11.无烟煤的消耗百分比为

(1)煤耗为生料的百分比为:

(2)折合成标准煤耗为

随便看

 

离鸟网收录3541549条中英文词条,其功能与新华字典、现代汉语词典、牛津高阶英汉词典等各类中英文词典类似,基本涵盖了全部常用中英文字词句的读音、释义及用法,是语言学习和写作的有利工具。

 

Copyright © 2004-2024 vtrois.com All Rights Reserved
更新时间:2026/4/21 1:59:06