网站首页  词典首页


请输入您要查询的字词:

 

字词 水杨酸毒扁豆碱[部]
类别 中英文字词句释义及详细解析
释义 水杨酸毒扁豆碱[部]

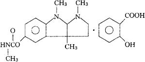
C15H21N3O2·C7H6O3=413.47

CAS-57-64-7

1,2,3,3a,8a,-六氢-1,3a,8-三甲基吡咯并-[2,3,-b]-吲哚基5-酚甲基氨基甲酸酯,(3aS-顺式)-单-(α-羟苯甲酸)。

1,2,3,3a,8a,-Hexahydro-1,3a,8-trimethylpyrrolo[2,3,-b]-indol-5-ol methylcarbamate(ester),(3aScis),mono(α-hydroxybenzoate).

抗胆碱酯酶药。有缩瞳、降低眼内压作用。用于青光眼。

依色林。

Physostigmine Salicylate,Antilirium,Eserine Salicylate.

水杨酸毒扁豆碱注射液。

BP,EP,IP,JP,USAN,USP,USSRP,MI.

随便看

 

离鸟网收录3541549条中英文词条,其功能与新华字典、现代汉语词典、牛津高阶英汉词典等各类中英文词典类似,基本涵盖了全部常用中英文字词句的读音、释义及用法,是语言学习和写作的有利工具。

 

Copyright © 2004-2024 vtrois.com All Rights Reserved
更新时间:2026/4/21 16:09:08