网站首页  词典首页


请输入您要查询的字词:

 

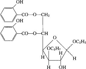
字词 水杨丙甙
类别 中英文字词句释义及详细解析
释义 水杨丙甙

C25H30O10=490.51

CAS-33779-37-2

3-O-丙基-D-呋喃葡萄糖苷5,6-二水杨酸乙酯。

Ethyl 3-O-propyl-D-glucofuranoside 5,6-disalicylate.

乙基3-O-丙基-D-呋喃葡萄糖昔5,6-双(2-羟苯甲酸)酯。

Ethyl 3-O-propyl-D-glucofuranoside 5,6-bis(2-hydroxybenzoate).

消炎药。

柳丙葡甙。

Salprotoside.

INN,USAN.

随便看

 

离鸟网收录3541549条中英文词条,其功能与新华字典、现代汉语词典、牛津高阶英汉词典等各类中英文词典类似,基本涵盖了全部常用中英文字词句的读音、释义及用法,是语言学习和写作的有利工具。

 

Copyright © 2004-2024 vtrois.com All Rights Reserved
更新时间:2026/4/21 15:05:44