网站首页  词典首页


请输入您要查询的字词:

 

字词 氰胍佐旦
类别 中英文字词句释义及详细解析
释义 氰胍佐旦

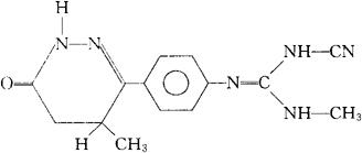
C14H16N6O=284.32

CAS-115344-47-3

2-氰基-1-甲基-3-[4-(4-甲基-6-氧代-1,4,5,6-四氢哒嗪-3-基)苯基]胍。

2-Cyano-1-methyl-3-[4-(4-methyl-6-oxo-1,4,5,6-tetrahydropyridazin-3-yl)phenyl]guanidine.

N-氰基-N′-甲基-N″-[4-(1,4,5,6-四氢-4-甲基-6-氧代-3-哒嗪基)苯基]胍。

N-Cyano-N′-methyl-N′′-[4-(1,4,5,6-tetrahydro4-methyl-6-oxo-3pyridazinyl)phenyl]guanidine.

血管扩张剂,强心药。

Siguazodan,SKF 94836.

BAN,USAN.

随便看

 

离鸟网收录3541549条中英文词条,其功能与新华字典、现代汉语词典、牛津高阶英汉词典等各类中英文词典类似,基本涵盖了全部常用中英文字词句的读音、释义及用法,是语言学习和写作的有利工具。

 

Copyright © 2004-2024 vtrois.com All Rights Reserved
更新时间:2026/4/19 13:48:14