网站首页  词典首页


请输入您要查询的字词:

 

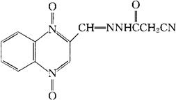
字词 氰多司
类别 中英文字词句释义及详细解析
释义 氰多司

C12H9N5O3=271.23

CAS-65884-46-0

氰基乙酸(2-喹喔啉基亚甲基)酰肼,N1,N4-二氧化物。

(±)-Cyanoacetic acid(2-quinoxalinylmethylene)hydrazide,N1,N4-dioxide.

抗菌药,生长促进药(兽用)。

塞多克西。

Ciadox,VUFB 11502,Cyadox.

INN,USAN.

随便看

 

离鸟网收录3541549条中英文词条,其功能与新华字典、现代汉语词典、牛津高阶英汉词典等各类中英文词典类似,基本涵盖了全部常用中英文字词句的读音、释义及用法,是语言学习和写作的有利工具。

 

Copyright © 2004-2024 vtrois.com All Rights Reserved
更新时间:2026/4/21 15:28:04