网站首页  词典首页


请输入您要查询的字词:

 

字词 氯马司汀[中]
类别 中英文字词句释义及详细解析
释义 氯马司汀[中]

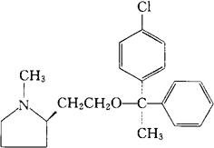
C21H26ClNO=343.90

CAS-15686-51-8

(+)-2(2R)-[2-[(R)-对(4-氯-α-甲基-α-苯基苄基)氧]乙基]-1-甲基吡咯烷。

(+)-(2R)-2-[2-[(R)-p-Chloro-α-methyl-α-phenylbenzyloxy]ethyl]-1-methylpyrrolidine.

抗组胺药。

克立马丁,吡咯醇胺。

Clemastine,Clemanil,Meclastine.

INN,BAN,DCF,DCIT,JAN,JP,NFN,USAN,USP,MI.

随便看

 

离鸟网收录3541549条中英文词条,其功能与新华字典、现代汉语词典、牛津高阶英汉词典等各类中英文词典类似,基本涵盖了全部常用中英文字词句的读音、释义及用法,是语言学习和写作的有利工具。

 

Copyright © 2004-2024 vtrois.com All Rights Reserved
更新时间:2026/4/19 16:11:04