网站首页  词典首页


请输入您要查询的字词:

 

字词 氯谷胺
类别 中英文字词句释义及详细解析
释义 氯谷胺

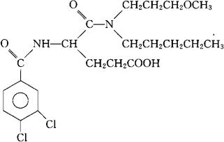
C21H30Cl2N2O5=461.39

CAS-107097-80-3

(±)-4-(3,4-二氯苯甲酰胺基)-N-(3-甲氧丙基)-N戊基戊二氨酸。

(±)-4-(3,4-Dichlorobenzamido)-N-(3-methoxypropyl)-N-pentylglutaramic acid.

4-[(3,4-二氯苯甲酰基)氨基]-5-[(3-甲氧丙基)-戊氨基]-5-氧代戊烷酸。

4-[(3,4-Dichlorobenzoyl)amino]-5-[(3-methoxypropyl)-pentylamino]-5-oxopentanoic acid.

胃肠功能改善药,激胆囊素抑制药。

Loxiglumide,CR 1505.

INN,USAN.

随便看

 

离鸟网收录3541549条中英文词条,其功能与新华字典、现代汉语词典、牛津高阶英汉词典等各类中英文词典类似,基本涵盖了全部常用中英文字词句的读音、释义及用法,是语言学习和写作的有利工具。

 

Copyright © 2004-2024 vtrois.com All Rights Reserved
更新时间:2026/4/19 8:34:01