网站首页  词典首页


请输入您要查询的字词:

 

字词 氯诺昔康
类别 中英文字词句释义及详细解析
释义 氯诺昔康

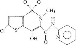
C13H10ClN3O4S2=371.81

CAS-70374-39-9

6-氯-4-羟-2-甲基-N-2-吡啶基-2H-噻吩并[2,3-e]-1,2-噻嗪3-甲酰胺1,1-二氧化物。

6-Chloro-4-hydroxy-2-methyl-N-2-pyridyl-2H-thieno[2,3-e]-1,2-thiazine-3-carboxamide1,1-dioxide.

消炎镇痛药。

Lornoxicam,Ro-13-9297,Chlorotenoxicam.

INN,BAN,USAN.

随便看

 

离鸟网收录3541549条中英文词条,其功能与新华字典、现代汉语词典、牛津高阶英汉词典等各类中英文词典类似,基本涵盖了全部常用中英文字词句的读音、释义及用法,是语言学习和写作的有利工具。

 

Copyright © 2004-2024 vtrois.com All Rights Reserved
更新时间:2026/4/21 4:20:49