网站首页  词典首页


请输入您要查询的字词:

 

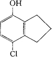
字词 氯茚酚
类别 中英文字词句释义及详细解析
释义 氯茚酚

C9H9ClO=168.62

CAS-145-94-8

7-氯-2,3-二氢-1H-茚-4-醇。

7-Chloro-2,3-dihydro-1H-inden-4-ol.

7-氯-4-二氢茚醇。

7-Chloro-4-indanol.

氯羟满茚。

Chlorindanol,Lanesta,NSC-158565.

INN(Cloindanol),USAN.

随便看

 

离鸟网收录3541549条中英文词条,其功能与新华字典、现代汉语词典、牛津高阶英汉词典等各类中英文词典类似,基本涵盖了全部常用中英文字词句的读音、释义及用法,是语言学习和写作的有利工具。

 

Copyright © 2004-2024 vtrois.com All Rights Reserved
更新时间:2026/4/19 23:33:36