网站首页  词典首页


请输入您要查询的字词:

 

字词 氯苄苷[中]
类别 中英文字词句释义及详细解析
释义 氯苄苷[中]

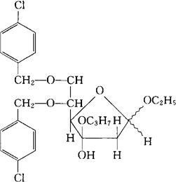
C25H32Cl2O6=499.43

CAS-29899-95-4

5,6-双-O-(对-氯苄基)-3-O-丙基-D-呋喃葡萄糖苷。

Ethyl5,6-bis-O-(p-chlorobenzyl)-3-O-propyl-Dglucofuranoside.

周围血管扩张药,消炎药。用于慢性静脉功能不全的对症治疗和血栓形成后的综合征。

氯苯西特。

Clobenoside,Ba-43853,Arvigol,Floganol.

INN,USAN,MI.

随便看

 

离鸟网收录3541549条中英文词条,其功能与新华字典、现代汉语词典、牛津高阶英汉词典等各类中英文词典类似,基本涵盖了全部常用中英文字词句的读音、释义及用法,是语言学习和写作的有利工具。

 

Copyright © 2004-2024 vtrois.com All Rights Reserved
更新时间:2026/4/20 16:20:54