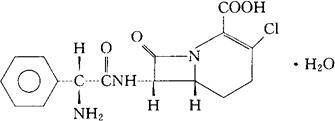
氯碳头孢
C16H16ClN3O4·H2O=367.79 CAS-121961-22-6 [6R-[6α,7β(R*)]]-7-[(氨基苯基乙酰)氨基]-3-氯-8-氧代-1-氮杂双环[4.2.0]辛-2-烯-2-羧酸,一水合物。 [6R,-[6α,7β(R*)]]-7-[(Aminophenylacetyl)amino]-3-chloro-8-oxo-1-azabicyclo[4.2.0]oct-2-ene-2-carboxylic acid,monohydrate. (6R,7S)-7-[(R)-2-氨基-2-苯基乙酰胺基]-3-氯-8-氧代-1-氮杂双环[4.2.0]辛-2-烯-2-羧酸,-水合物。 (6R,7S)-7-[(R)-2-Amino-2-phenylacetamido]-3-chloro-8-oxo-1-azabicyclo[4.2.O]oct-2-ene-2-carboxylic acid,monohydrate. 抗生素类药。 Loracarbef,LY163892 Monohydrate. INN,USAN.  |