网站首页  词典首页


请输入您要查询的字词:

 

字词 氯硝地平
类别 中英文字词句释义及详细解析
释义 氯硝地平

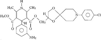
C30H32ClN3O8=598.05

CAS-113759-50-5

[8-(对-氯苯基)-1,4-二噁-8-氮杂螺[4,5]癸-2-基]甲基甲基1,4-二氢-2,6-二甲基-4-(间-硝苯基)-3,5-吡啶二羧酸酯。

[8-(p-Chlorophenyl)-1,4-dioxa-8-azaspiro[4,5]dec2-yl]methylmethyl 1,4-dihydro-2,6-dimethyl-4-(mnitrophenyl)-3,5-pyridinedicarboxylate.

血管扩张药。

Cronidipine.

INN,USAN.

随便看

 

离鸟网收录3541549条中英文词条,其功能与新华字典、现代汉语词典、牛津高阶英汉词典等各类中英文词典类似,基本涵盖了全部常用中英文字词句的读音、释义及用法,是语言学习和写作的有利工具。

 

Copyright © 2004-2024 vtrois.com All Rights Reserved
更新时间:2026/4/21 17:25:54