网站首页  词典首页


请输入您要查询的字词:

 

字词 氯甲西林
类别 中英文字词句释义及详细解析
释义 氯甲西林

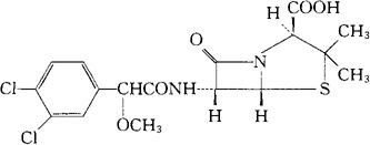
C17H18Cl2N2O5S=433.31

CAS-1926-49-4

(3,4-二氯-α-甲氧苄基)青霉素。

(3,4-Dichloro-α-methoxybenzyl)penicillin.

6-[[(3,4-二氯苯基)甲氧乙酰]氨基]-3,3-二甲基-7-氧代-4-硫杂-1-氮杂双环[3.2.0]庚烷-2-羧酸。

6-[[(3,4-Dichlorophenyl)methoxyacetyl]amino]-3,3-dimethyl-7-oxo-4-thia-1-azabicylo[3.2.0]heptane-2-carboxylic acid.

Clometocillin,Penieillin 356,Pixapen.

INN,DCF,USAN.

随便看

 

离鸟网收录3541549条中英文词条,其功能与新华字典、现代汉语词典、牛津高阶英汉词典等各类中英文词典类似,基本涵盖了全部常用中英文字词句的读音、释义及用法,是语言学习和写作的有利工具。

 

Copyright © 2004-2024 vtrois.com All Rights Reserved
更新时间:2026/4/20 22:37:38