网站首页  词典首页


请输入您要查询的字词:

 

字词 氯甲哌噻嗪[中]
类别 中英文字词句释义及详细解析
释义 氯甲哌噻嗪[中]

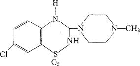
C12H17ClN4O2S=395.52

7-氯-3-(4-甲基-1-哌嗪)-4H-1,2,4-苯并噻二嗪-1,1-二氧化物。

7-Chloro-3-(4-methyl-1-piperazine)-4H-1,2,4-benzothiadiazine-1,1-dioxide.

抗高血压药。对肾型高血压有降压作用,用于原发性高血压及肾型高血压。

舒压嗪。

氯甲哌噻嗪片(舒压嗪片)。

随便看

 

离鸟网收录3541549条中英文词条,其功能与新华字典、现代汉语词典、牛津高阶英汉词典等各类中英文词典类似,基本涵盖了全部常用中英文字词句的读音、释义及用法,是语言学习和写作的有利工具。

 

Copyright © 2004-2024 vtrois.com All Rights Reserved
更新时间:2026/4/21 2:24:42