网站首页  词典首页


请输入您要查询的字词:

 

字词 氯氧喷
类别 中英文字词句释义及详细解析
释义 氯氧喷

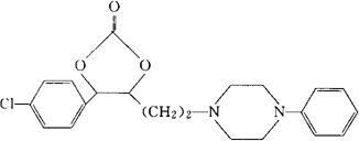
C21H21ClN2O3=384.86

CAS-71923-34-7

4-(对-氯苯基)-5-[2-(4-苯基-1-哌嗪基)乙基]-1,3-二氧杂环戊烯-2-酮。

4-(p-Chlorophenyl)-5-[2-(4-phenyl-1-piperazinyl)ethyl]-1,3-dioxol-2-one.

降血脂药。

克罗索明。

Clodoxopone,LR-19731.

INN,USAN.

随便看

 

离鸟网收录3541549条中英文词条,其功能与新华字典、现代汉语词典、牛津高阶英汉词典等各类中英文词典类似,基本涵盖了全部常用中英文字词句的读音、释义及用法,是语言学习和写作的有利工具。

 

Copyright © 2004-2024 vtrois.com All Rights Reserved
更新时间:2026/4/21 6:05:01