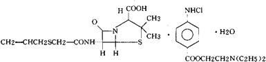
氯普鲁卡因青霉素O
C26H37ClN4O6S2·H2O=619.19 CAS-575-52-0 3,3-二甲基-7-氧代-6-[[(2-丙烯基硫代)乙酰]氨基]-4-硫杂-1-氮杂双环[3.2.0]庚烷-2-羧酸-2-氯普鲁卡因盐一水化合物。 3,3-Dimethyl-7-oxo-6-[[(2-propenylthio)acetyl amino]-4-thia-1-azabicyclo[3.2.0]heptane-2-carboxylic acid-2-chloroprocaine salt monohydrate, 抗生素类药(抗菌药)。 氯普鲁卡因阿美西林。 Penicillin O Chloroprocaine,Almecillin Chloroprocaine,Chloroprocaine Penicillin O,Depocer-O-cillin Chloroprocaine. USAN,MI. 
|