网站首页  词典首页


请输入您要查询的字词:

 

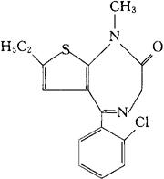
字词 氯噻西泮
类别 中英文字词句释义及详细解析
释义 氯噻西泮

C16H15ClN2OS=318.82

CAS-33617-46-4

5-(邻-氯苯基)-7-乙基-1,3-二氢-1-甲基-2H-噻吩并[2,3-c]-1,4-二氮杂-2-酮。

5-(o-Chlorophenyl)-7-ethyl-1,3-dihydrio-1-methyl2H-thieno[2,3-c]-1,4-diazepin-2-one.

安定药。用于镇静。

酮。

Clotiagepam,Clogan,Kige,Treclmo.

INN,USAN,MI.

随便看

 

离鸟网收录3541549条中英文词条,其功能与新华字典、现代汉语词典、牛津高阶英汉词典等各类中英文词典类似,基本涵盖了全部常用中英文字词句的读音、释义及用法,是语言学习和写作的有利工具。

 

Copyright © 2004-2024 vtrois.com All Rights Reserved
更新时间:2026/4/20 19:53:24