网站首页  词典首页


请输入您要查询的字词:

 

字词 氯唑西林钠[典]
类别 中英文字词句释义及详细解析
释义 氯唑西林钠[典]

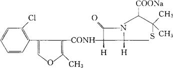
C19H17ClN3NaO5S=457.86

CAS-642-78-4

(2S,5R,6R)-6-[3-(邻-氯苯基)-5-甲基-4-异噁唑甲酰胺基]-3,3-二甲基-7-氧代-硫杂-4-1-氮杂双环[3.2.0]-庚烷-2-羧酸单钠盐。

Monosodium(2S,5R,6R)-6-[3-(o-Chlorophenyl)-5-methyl-4-isoxazolcarboxamido]-3,3-dimethyl-7-oxo-4-thia-1-azabicyclo[3.2.0]heptane-2-carboxylate.

抗生素类药。为耐酸、耐霉半合成青霉素。

用于对青霉素耐药的葡萄球菌感染。

邻氯青霉素钠邻氯苯甲异噁唑青霉素钠,氯噻青霉素钠(台),氯苯唑青霉素钠。

Cloxacillin Sodium,Cloxapen.

注射用邻氯青霉素钠(注射用氯唑西林钠),氯噻青霉素钠胶囊(台)。

USAN,USP,MI.

随便看

 

离鸟网收录3541549条中英文词条,其功能与新华字典、现代汉语词典、牛津高阶英汉词典等各类中英文词典类似,基本涵盖了全部常用中英文字词句的读音、释义及用法,是语言学习和写作的有利工具。

 

Copyright © 2004-2024 vtrois.com All Rights Reserved
更新时间:2026/4/20 5:42:21