网站首页  词典首页


请输入您要查询的字词:

 

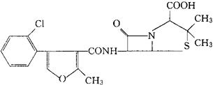
字词 氯唑西林
类别 中英文字词句释义及详细解析
释义 氯唑西林

C19H18ClN3O5S=435.88

CAS-61-72-3

(2S,5R,6R)-6-[3-(邻-氯苯基)-5-甲基-4-异噁唑甲酰胺基]-3,3-二甲基-7-氧代-4-硫杂-1-氮杂双环[3.2.0]庚烷-2-羧酸。

(2S,5R,6R)-6-[3-(o-Chlorophenyl)-5-methyl-4-isoxazolecarboxamido]3,3-dimethyl-7-oxo-4-thia1-azabicyclo[3.2.0]heptane-2-carboxylate.

抗生素类药。为耐酸、耐霉的半合成青霉素。用于对青霉素耐药的葡萄球菌感染。

邻氯苯甲异噁唑青霉素,邻氯西林,邻氯青霉素。

Cloxacillin.

注射用邻氯青霉素,邻氯青霉素胶囊。

MI.

随便看

 

离鸟网收录3541549条中英文词条,其功能与新华字典、现代汉语词典、牛津高阶英汉词典等各类中英文词典类似,基本涵盖了全部常用中英文字词句的读音、释义及用法,是语言学习和写作的有利工具。

 

Copyright © 2004-2024 vtrois.com All Rights Reserved
更新时间:2026/4/20 7:07:49