网站首页  词典首页


请输入您要查询的字词:

 

字词 氯吡灵
类别 中英文字词句释义及详细解析
释义 氯吡灵

又称甲氧氯吡啶。

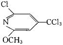
杂环类杀菌剂。化学名称:2-氯-6-甲氧基-4-(三氯甲基)吡啶。化学结构式如下。原药为固体结晶,具中等挥发性,难溶于水,易溶于大多数有机酸,由美国陶氏化学公司筛选,原作为氮肥添加剂,用于防止氮肥氧化,后又发现其对鞭毛菌亚门的真菌,尤其是疫霉菌有特效,是一种内吸性、残效长的特异性杀菌剂。

土壤沟施、浇灌,叶面喷洒或施于移栽液中均可。药剂在植株体内有较强的向基性输导性能,叶面喷洒的药剂能向根茎部聚积,因此很适宜防治由疫霉菌引起的烟草黑胫病,杜鹃花根腐病等。

烟苗移栽时药剂混入水中浇施一次,可控制早期的黑胫病,以后再结合叶面喷洒,药剂在植株体内的效果优于离体,对叶片病害效果差。

随便看

 

离鸟网收录3541549条中英文词条,其功能与新华字典、现代汉语词典、牛津高阶英汉词典等各类中英文词典类似,基本涵盖了全部常用中英文字词句的读音、释义及用法,是语言学习和写作的有利工具。

 

Copyright © 2004-2024 vtrois.com All Rights Reserved
更新时间:2026/4/21 14:19:25