网站首页  词典首页


请输入您要查询的字词:

 

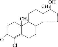
字词 氯司替勃[中]
类别 中英文字词句释义及详细解析
释义 氯司替勃[中]

C19H27ClO2=322.87

CAS-1093-58-9

4-氯-17β-羟基雄甾-4-烯-3-酮。

4-Chloro-17β-hydroxyandrost-4-en-3-one.

雄激素,同化激素类药。

氯斯太宝,氯司替勃。

Clostebol,4-Chloroteetosferone.

INN,BAN(Clostebol Acetate),USAN.

随便看

 

离鸟网收录3541549条中英文词条,其功能与新华字典、现代汉语词典、牛津高阶英汉词典等各类中英文词典类似,基本涵盖了全部常用中英文字词句的读音、释义及用法,是语言学习和写作的有利工具。

 

Copyright © 2004-2024 vtrois.com All Rights Reserved
更新时间:2026/4/21 6:19:50