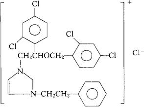
氯司帕唑
C26H23Cl5N2O=556.75 CAS-54143-54-3 1-[2-(2,4-二氯苯基)-2-[(2,4-二氯苯基)甲氧]乙基]-3-(2-苯乙基)-1H-咪唑鎓盐,氯化物。 1-[2-(2,4-Dichlorophenyl)-2-[(2,4-dichlorophenyl)methoxy]ethyl]-3-(2-phenylethyl)-1H-imidazolium,chloride. 1-[2,4-二氯-β-[(2,4-二氯苄基)氧]苯乙基]-3-苯乙基咪唑鎓氯化物。 1-[2,4-Dichloro-β-[(2,4-dichlorobenzyl)oxy]phenethyl]-3-phenethylimidazolium chloride. 抗感染药(局部)。 司帕氯铵。 Sepazonium Chloride,R 27,500. INN,BAN,USAN.  |