网站首页  词典首页


请输入您要查询的字词:

 

字词 氯卡帕明
类别 中英文字词句释义及详细解析
释义 氯卡帕明

C28H37ClN4O=481.08

CAS-47739-98-0

CAS-28085-62-0(hydrochloride)

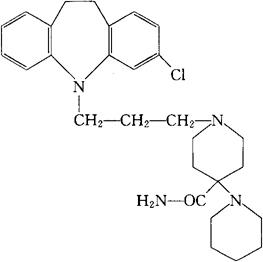
1′-[3-(3-氯-10,11-二氢-5H-二苯并[b,f]氮杂-5-基)-丙基][1,4′-联哌啶]-4′-甲酰胺。

1′-[3-(3-Chloro-10,11-dihydro-5H-dibenz[b,f]azepin-5-yl)propyl][1,4′-bipiperidine]-4′-carboxamide.

抗抑郁药。

氯卡比咪嗪。

Clocapramine,Y 4153(as Hydrochloride).

INN,USAN,MI.

随便看

 

离鸟网收录3541549条中英文词条,其功能与新华字典、现代汉语词典、牛津高阶英汉词典等各类中英文词典类似,基本涵盖了全部常用中英文字词句的读音、释义及用法,是语言学习和写作的有利工具。

 

Copyright © 2004-2024 vtrois.com All Rights Reserved
更新时间:2026/4/21 0:04:25