网站首页  词典首页


请输入您要查询的字词:

 

字词 氯化管箭毒素[台]
类别 中英文字词句释义及详细解析
释义 氯化管箭毒素[台]

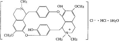
C37H41ClN2O6·HCl·5H2O=771.73

CAS-6989-98-0

(+)氯化筒箭毒碱的盐酸盐五水化合物。

(+)Tubocurarine chloride hydrochloride pentahydrate.

骨骼肌松弛药。用于全身麻醉辅助药。

氯化筒箭毒碱,氯化管箭毒碱,氯化右旋筒箭毒碱,氯化竹筒箭毒碱,箭毒块茎碱盐。

Tubocurarine Chloride,D-Tubocurarine Chloride,Curarine,Tubarine.

氯化筒箭毒碱注射液(氯化管箭毒碱注射液),氯化管箭毒素注射液(台)。

INN,BP,DCIT,EP,FP,IP,JP,USAN,USP,MI.

随便看

 

离鸟网收录3541549条中英文词条,其功能与新华字典、现代汉语词典、牛津高阶英汉词典等各类中英文词典类似,基本涵盖了全部常用中英文字词句的读音、释义及用法,是语言学习和写作的有利工具。

 

Copyright © 2004-2024 vtrois.com All Rights Reserved
更新时间:2026/4/20 9:59:45