网站首页  词典首页


请输入您要查询的字词:

 

字词 氨磺必利
类别 中英文字词句释义及详细解析
释义 氨磺必利

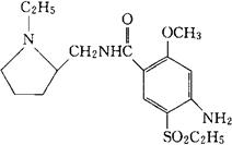
C17H27N3O4S=369.84

CAS-71675-85-9

4-氨基-N-[(1-乙基-2-吡咯烷基)甲基]-5-(乙基磺酰基)-o-茴香酰胺。

4-Amino-N-[(1-ethyl-2-pyrrolidinyl)methyl]-5-(ethylsulfonyl)-o-anisamide.

抗精神失常药。

氨舒必利。

Amisulpride.

INN,USAN,MI.

随便看

 

离鸟网收录3541549条中英文词条,其功能与新华字典、现代汉语词典、牛津高阶英汉词典等各类中英文词典类似,基本涵盖了全部常用中英文字词句的读音、释义及用法,是语言学习和写作的有利工具。

 

Copyright © 2004-2024 vtrois.com All Rights Reserved
更新时间:2026/4/20 9:14:04